Home
學生控制台
註冊會員/登入
研究知情同意書
教師控制台
課程設定
支援與訊息
Uptime 數據

UeduGPTs

--

Jupyters

13

UG26
臺北 AQI 70 · 臺中 AQI 60 · 臺南 AQI 41 · 高雄 AQI 40

AI 回覆桌面通知

AI 助教回覆完成時顯示桌面通知

聊天訊息通知

同學在討論區發送訊息時通知

聲音通知

每當有新通知時播放提示音

Uedu Open / Probabilistic Systems Analysis and Applied Probability
6.041SC

Probabilistic Systems Analysis and Applied Probability

Prof. John Tsitsiklis | Fall 2013
Science & Math Mathematics Engineering Systems Engineering Discrete Mathematics Probability and Statistics
前往原始課程
CC BY-NC-SA 4.0
課程簡介

This course introduces students to the modeling, quantification, and analysis of uncertainty.  The tools of probability theory, and of the related field of statistical inference, are the keys for being able to analyze and make sense of data. These tools underlie important advances in many fields, from the basic sciences to engineering and management.

Course Format

This course has been designed for independent study. It provides everything you will need to understand the concepts covered in the course. The materials include:

  • Lecture Videos by MIT Professor John Tsitsiklis
  • Lecture Slides and Readings
  • Recitation Problems and Solutions
  • Recitation Help Videos by MIT Teaching Assistants
  • Tutorial Problems and Solutions
  • Tutorial Help Videos by MIT Teaching Assistants
  • Problem Sets with Solutions
  • Exams with Solutions
Related Resource

A complementary resource, Introduction to Probability, is provided by the videos developed for an EdX version of 6.041. These videos cover more or less the same content, in somewhat different order, and in somewhat more detail than the videotaped live lectures.

課程資訊
來源MIT 開放式課程
科系Electrical Engineering and Computer Science
語言English
影片數76
課程影片 (76)
1
1. Probability Models and Axioms
1. Probability Models and Axioms
2
The Probability of the Difference of Two Events
The Probability of the Difference of Two Events
3
Geniuses and Chocolates
Geniuses and Chocolates
4
Uniform Probabilities on a Square
Uniform Probabilities on a Square
5
2. Conditioning and Bayes' Rule
2. Conditioning and Bayes' Rule
6
A Coin Tossing Puzzle
A Coin Tossing Puzzle
7
Conditional Probability Example
Conditional Probability Example
8
The Monty Hall Problem
The Monty Hall Problem
9
3. Independence
3. Independence
10
A Random Walker
A Random Walker
11
Communication over a Noisy Channel
Communication over a Noisy Channel
12
Network Reliability
Network Reliability
13
A Chess Tournament Problem
A Chess Tournament Problem
14
4. Counting
4. Counting
15
Rooks on a Chessboard
Rooks on a Chessboard
16
Hypergeometric Probabilities
Hypergeometric Probabilities
17
5. Discrete Random Variables I
5. Discrete Random Variables I
18
Sampling People on Buses
Sampling People on Buses
19
PMF of a Function of a Random Variable
PMF of a Function of a Random Variable
20
6. Discrete Random Variables II
6. Discrete Random Variables II
21
Flipping a Coin a Random Number of Times
Flipping a Coin a Random Number of Times
22
Joint Probability Mass Function (PMF) Drill 1
Joint Probability Mass Function (PMF) Drill 1
23
The Coupon Collector Problem
The Coupon Collector Problem
24
7. Discrete Random Variables III
7. Discrete Random Variables III
25
Joint Probability Mass Function (PMF) Drill 2
Joint Probability Mass Function (PMF) Drill 2
26
8. Continuous Random Variables
8. Continuous Random Variables
27
Calculating a Cumulative Distribution Function (CDF)
Calculating a Cumulative Distribution Function (CDF)
28
A Mixed Distribution Example
A Mixed Distribution Example
29
Mean & Variance of the Exponential
Mean & Variance of the Exponential
30
Normal Probability Calculation
Normal Probability Calculation
31
9. Multiple Continuous Random Variables
9. Multiple Continuous Random Variables
32
Uniform Probabilities on a Triangle
Uniform Probabilities on a Triangle
33
Probability that Three Pieces Form a Triangle
Probability that Three Pieces Form a Triangle
34
The Absent Minded Professor
The Absent Minded Professor
35
10. Continuous Bayes' Rule; Derived Distributions
10. Continuous Bayes' Rule; Derived Distributions
36
Inferring a Discrete Random Variable from a Continuous Measurement
Inferring a Discrete Random Variable from a Continuous Measurement
37
Inferring a Continuous Random Variable from a Discrete Measurement
Inferring a Continuous Random Variable from a Discrete Measurement
38
A Derived Distribution Example
A Derived Distribution Example
39
The Probability Distribution Function (PDF) of [X]
The Probability Distribution Function (PDF) of [X]
40
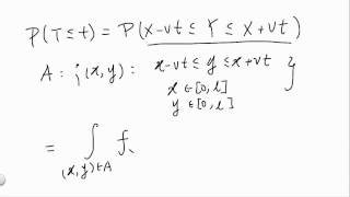
Ambulance Travel Time
Ambulance Travel Time
41
11. Derived Distributions (ctd.); Covariance
11. Derived Distributions (ctd.); Covariance
42
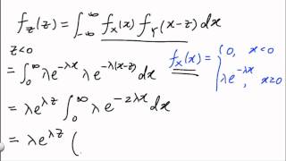
The Difference of Two Independent Exponential Random Variables
The Difference of Two Independent Exponential Random Variables
43
The Sum of Discrete and Continuous Random Variables
The Sum of Discrete and Continuous Random Variables
44
12. Iterated Expectations
12. Iterated Expectations
45
The Variance in the Stick Breaking Problem
The Variance in the Stick Breaking Problem
46
Widgets and Crates
Widgets and Crates
47
Using the Conditional Expectation and Variance
Using the Conditional Expectation and Variance
48
A Random Number of Coin Flips
A Random Number of Coin Flips
49
A Coin with Random Bias
A Coin with Random Bias
50
13. Bernoulli Process
13. Bernoulli Process
51
Bernoulli Process Practice
Bernoulli Process Practice
52
14. Poisson Process I
14. Poisson Process I
53
Competing Exponentials
Competing Exponentials
54
15. Poisson Process II
15. Poisson Process II
55
Random Incidence Under Erlang Arrivals
Random Incidence Under Erlang Arrivals
56
16. Markov Chains I
16. Markov Chains I
57
Setting Up a Markov Chain
Setting Up a Markov Chain
58
Markov Chain Practice 1
Markov Chain Practice 1
59
17. Markov Chains II
17. Markov Chains II
60
18. Markov Chains III
18. Markov Chains III
61
Mean First Passage and Recurrence Times
Mean First Passage and Recurrence Times
62
19. Weak Law of Large Numbers
19. Weak Law of Large Numbers
63
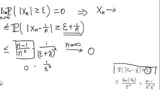
Convergence in Probability and in the Mean Part 1
Convergence in Probability and in the Mean Part 1
64
Convergence in Probability and in the Mean Part 2
Convergence in Probability and in the Mean Part 2
65
Convergence in Probability Example
Convergence in Probability Example
66
20. Central Limit Theorem
20. Central Limit Theorem
67
Probabilty Bounds
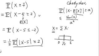
Probabilty Bounds
68
Using the Central Limit Theorem
Using the Central Limit Theorem
69
21. Bayesian Statistical Inference I
21. Bayesian Statistical Inference I
70
22. Bayesian Statistical Inference II
22. Bayesian Statistical Inference II
71
Inferring a Parameter of Uniform Part 1
Inferring a Parameter of Uniform Part 1
72
Inferring a Parameter of Uniform Part 2
Inferring a Parameter of Uniform Part 2
73
An Inference Example
An Inference Example
74
23. Classical Statistical Inference I
23. Classical Statistical Inference I
75
24. Classical Inference II
24. Classical Inference II
76
25. Classical Inference III
25. Classical Inference III