Home
學生控制台
註冊會員/登入
研究知情同意書
UeduGPTs
Aida 優學伴
Uedu Open
支援與訊息

UeduGPTs

--

Jupyters

3

AI 回覆桌面通知

AI 助教回覆完成時顯示桌面通知

聊天訊息通知

同學在討論區發送訊息時通知

聲音通知

每當有新通知時播放提示音

Uedu Open / Introduction to Probability
RES.6-012

Introduction to Probability

Prof. John Tsitsiklis, Prof. Patrick Jaillet | Spring 2018
Science & Math Mathematics Engineering Systems Engineering Probability and Statistics
前往原始課程
CC BY-NC-SA 4.0
課程簡介

The tools of probability theory, and of the related field of statistical inference, are the keys for being able to analyze and make sense of data. These tools underlie important advances in many fields, from the basic sciences to engineering and management.

This resource is a companion site to 6.041SC Probabilistic Systems Analysis and Applied Probability. It covers the same content, using videos developed for an edX version of the course.

課程資訊
來源MIT 開放式課程
科系Electrical Engineering and Computer Science
語言English
影片數266
課程影片 (266)
1
L01.1 Lecture Overview
L01.1 Lecture Overview
2
L01.2 Sample Space
L01.2 Sample Space
3
L01.3 Sample Space Examples
L01.3 Sample Space Examples
4
L01.4 Probability Axioms
L01.4 Probability Axioms
5
L01.5 Simple Properties of Probabilities
L01.5 Simple Properties of Probabilities
6
L01.6 More Properties of Probabilities
L01.6 More Properties of Probabilities
7
L01.7 A Discrete Example
L01.7 A Discrete Example
8
L01.8 A Continuous Example
L01.8 A Continuous Example
9
L01.9 Countable Additivity
L01.9 Countable Additivity
10
L01.10 Interpretations & Uses of Probabilities
L01.10 Interpretations & Uses of Probabilities
11
S01.0 Mathematical Background Overview
S01.0 Mathematical Background Overview
12
S01.1 Sets
S01.1 Sets
13
S01.2 De Morgan's Laws
S01.2 De Morgan's Laws
14
S01.3 Sequences and their Limits
S01.3 Sequences and their Limits
15
S01.4 When Does a Sequence Converge
S01.4 When Does a Sequence Converge
16
S01.5 Infinite Series
S01.5 Infinite Series
17
S01.6 The Geometric Series
S01.6 The Geometric Series
18
S01.7 About the Order of Summation in Series with Multiple Indices
S01.7 About the Order of Summation in Series with Multiple Indices
19
S01.8 Countable and Uncountable Sets
S01.8 Countable and Uncountable Sets
20
S01.9 Proof That a Set of Real Numbers is Uncountable
S01.9 Proof That a Set of Real Numbers is Uncountable
21
S01.10 Bonferroni's Inequality
S01.10 Bonferroni's Inequality
22
L02.1 Lecture Overview
L02.1 Lecture Overview
23
L02.2 Conditional Probabilities
L02.2 Conditional Probabilities
24
L02.3 A Die Roll Example
L02.3 A Die Roll Example
25
L02.4 Conditional Probabilities Obey the Same Axioms
L02.4 Conditional Probabilities Obey the Same Axioms
26
L02.5 A Radar Example and Three Basic Tools
L02.5 A Radar Example and Three Basic Tools
27
L02.6 The Multiplication Rule
L02.6 The Multiplication Rule
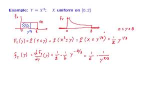
28
L02.7 Total Probability Theorem
L02.7 Total Probability Theorem
29
L02.8 Bayes' Rule
L02.8 Bayes' Rule
30
L03.1 Lecture Overview
L03.1 Lecture Overview
31
L03.2 A Coin Tossing Example
L03.2 A Coin Tossing Example
32
L03.3 Independence of Two Events
L03.3 Independence of Two Events
33
L03.4 Independence of Event Complements
L03.4 Independence of Event Complements
34
L03.5 Conditional Independence
L03.5 Conditional Independence
35
L03.6 Independence Versus Conditional Independence
L03.6 Independence Versus Conditional Independence
36
L03.7 Independence of a Collection of Events
L03.7 Independence of a Collection of Events
37
L03.8 Independence Versus Pairwise Independence
L03.8 Independence Versus Pairwise Independence
38
L03.9 Reliability
L03.9 Reliability
39
L03.10 The King's Sibling
L03.10 The King's Sibling
40
L04.1 Lecture Overview
L04.1 Lecture Overview
41
L04.2 The Counting Principle
L04.2 The Counting Principle
42
L04.3 Die Roll Example
L04.3 Die Roll Example
43
L04.4 Combinations
L04.4 Combinations
44
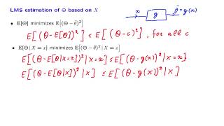
L04.5 Binomial Probabilities
L04.5 Binomial Probabilities
45
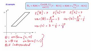
L04.6 A Coin Tossing Example
L04.6 A Coin Tossing Example
46
L04.7 Partitions
L04.7 Partitions
47
L04.8 Each Person Gets An Ace
L04.8 Each Person Gets An Ace
48
L04.9 Multinomial Probabilities
L04.9 Multinomial Probabilities
49
L05.1 Lecture Overview
L05.1 Lecture Overview
50
L05.2 Definition of Random Variables
L05.2 Definition of Random Variables
51
L05.3 Probability Mass Functions
L05.3 Probability Mass Functions
52
L05.4 Bernoulli & Indicator Random Variables
L05.4 Bernoulli & Indicator Random Variables
53
L05.5 Uniform Random Variables
L05.5 Uniform Random Variables
54
L05.6 Binomial Random Variables
L05.6 Binomial Random Variables
55
L05.7 Geometric Random Variables
L05.7 Geometric Random Variables
56
L05.8 Expectation
L05.8 Expectation
57
L05.9 Elementary Properties of Expectation
L05.9 Elementary Properties of Expectation
58
L05.10 The Expected Value Rule
L05.10 The Expected Value Rule
59
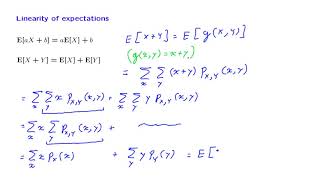
L05.11 Linearity of Expectations
L05.11 Linearity of Expectations
60
S05.1 Supplement: Functions
S05.1 Supplement: Functions
61
L06.1 Lecture Overview
L06.1 Lecture Overview
62
L06.2 Variance
L06.2 Variance
63
L06.3 The Variance of the Bernoulli & The Uniform
L06.3 The Variance of the Bernoulli & The Uniform
64
L06.4 Conditional PMFs & Expectations Given an Event
L06.4 Conditional PMFs & Expectations Given an Event
65
L06.5 Total Expectation Theorem
L06.5 Total Expectation Theorem
66
L06.6 Geometric PMF Memorylessness & Expectation
L06.6 Geometric PMF Memorylessness & Expectation
67
L06.7 Joint PMFs and the Expected Value Rule
L06.7 Joint PMFs and the Expected Value Rule
68
L06.8 Linearity of Expectations & The Mean of the Binomial
L06.8 Linearity of Expectations & The Mean of the Binomial
69
L07.1 Lecture Overview
L07.1 Lecture Overview
70
L07.2 Conditional PMFs
L07.2 Conditional PMFs
71
L07.3 Conditional Expectation & the Total Expectation Theorem
L07.3 Conditional Expectation & the Total Expectation Theorem
72
L07.4 Independence of Random Variables
L07.4 Independence of Random Variables
73
L07.5 Example
L07.5 Example
74
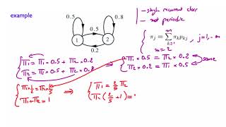
L07.6 Independence & Expectations
L07.6 Independence & Expectations
75
L07.7 Independence, Variances & the Binomial Variance
L07.7 Independence, Variances & the Binomial Variance
76
L07.8 The Hat Problem
L07.8 The Hat Problem
77
S07.1 The Inclusion-Exclusion Formula
S07.1 The Inclusion-Exclusion Formula
78
S07.2 The Variance of the Geometric
S07.2 The Variance of the Geometric
79
S07.3 Independence of Random Variables Versus Independence of Events
S07.3 Independence of Random Variables Versus Independence of Events
80
L08.1 Lecture Overview
L08.1 Lecture Overview
81
L08.2 Probability Density Functions
L08.2 Probability Density Functions
82
L08.3 Uniform & Piecewise Constant PDFs
L08.3 Uniform & Piecewise Constant PDFs
83
L08.4 Means & Variances
L08.4 Means & Variances
84
L08.5 Mean & Variance of the Uniform
L08.5 Mean & Variance of the Uniform
85
L08.6 Exponential Random Variables
L08.6 Exponential Random Variables
86
L08.7 Cumulative Distribution Functions
L08.7 Cumulative Distribution Functions
87
L08.8 Normal Random Variables
L08.8 Normal Random Variables
88
L08.9 Calculation of Normal Probabilities
L08.9 Calculation of Normal Probabilities
89
L09.1 Lecture Overview
L09.1 Lecture Overview
90
L09.2 Conditioning A Continuous Random Variable on an Event
L09.2 Conditioning A Continuous Random Variable on an Event
91
L09.3 Conditioning Example
L09.3 Conditioning Example
92
L09.4 Memorylessness of the Exponential PDF
L09.4 Memorylessness of the Exponential PDF
93
L09.5 Total Probability & Expectation Theorems
L09.5 Total Probability & Expectation Theorems
94
L09.6 Mixed Random Variables
L09.6 Mixed Random Variables
95
L09.7 Joint PDFs
L09.7 Joint PDFs
96
L09.8 From The Joint to the Marginal
L09.8 From The Joint to the Marginal
97
L09.9 Continuous Analogs of Various Properties
L09.9 Continuous Analogs of Various Properties
98
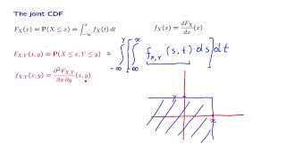
L09.10 Joint CDFs
L09.10 Joint CDFs
99
S09.1 Buffon's Needle & Monte Carlo Simulation
S09.1 Buffon's Needle & Monte Carlo Simulation
100
L10.1 Lecture Overview
L10.1 Lecture Overview
101
L10.2 Conditional PDFs
L10.2 Conditional PDFs
102
L10.3 Comments on Conditional PDFs
L10.3 Comments on Conditional PDFs
103
L10.4 Total Probability & Total Expectation Theorems
L10.4 Total Probability & Total Expectation Theorems
104
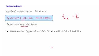
L10.5 Independence
L10.5 Independence
105
L10.6 Stick-Breaking Example
L10.6 Stick-Breaking Example
106
L10.7 Independent Normals
L10.7 Independent Normals
107
L10.8 Bayes Rule Variations
L10.8 Bayes Rule Variations
108
L10.9 Mixed Bayes Rule
L10.9 Mixed Bayes Rule
109
L10.10 Detection of a Binary Signal
L10.10 Detection of a Binary Signal
110
L10.11 Inference of the Bias of a Coin
L10.11 Inference of the Bias of a Coin
111
L11.1 Lecture Overview
L11.1 Lecture Overview
112
L11.2 The PMF of a Function of a Discrete Random Variable
L11.2 The PMF of a Function of a Discrete Random Variable
113
L11.3 A Linear Function of a Continuous Random Variable
L11.3 A Linear Function of a Continuous Random Variable
114
L11.4 A Linear Function of a Normal Random Variable
L11.4 A Linear Function of a Normal Random Variable
115
L11.5 The PDF of a General Function
L11.5 The PDF of a General Function
116
L11.6 The Monotonic Case
L11.6 The Monotonic Case
117
L11.7 The Intuition for the Monotonic Case
L11.7 The Intuition for the Monotonic Case
118
L11.8 A Nonmonotonic Example
L11.8 A Nonmonotonic Example
119
L11.9 The PDF of a Function of Multiple Random Variables
L11.9 The PDF of a Function of Multiple Random Variables
120
S11.1 Simulation
S11.1 Simulation
121
L12.1 Lecture Overview
L12.1 Lecture Overview
122
L12.2 The Sum of Independent Discrete Random Variables
L12.2 The Sum of Independent Discrete Random Variables
123
L12.3 The Sum of Independent Continuous Random Variables
L12.3 The Sum of Independent Continuous Random Variables
124
L12.4 The Sum of Independent Normal Random Variables
L12.4 The Sum of Independent Normal Random Variables
125
L12.5 Covariance
L12.5 Covariance
126
L12.6 Covariance Properties
L12.6 Covariance Properties
127
L12.7 The Variance of the Sum of Random Variables
L12.7 The Variance of the Sum of Random Variables
128
L12.8 The Correlation Coefficient
L12.8 The Correlation Coefficient
129
L12.9 Proof of Key Properties of the Correlation Coefficient
L12.9 Proof of Key Properties of the Correlation Coefficient
130
L12.10 Interpreting the Correlation Coefficient
L12.10 Interpreting the Correlation Coefficient
131
L12.11 Correlations Matter
L12.11 Correlations Matter
132
L13.1 Lecture Overview
L13.1 Lecture Overview
133
L13.2 Conditional Expectation as a Random Variable
L13.2 Conditional Expectation as a Random Variable
134
L13.3 The Law of Iterated Expectations
L13.3 The Law of Iterated Expectations
135
L13.4 Stick-Breaking Revisited
L13.4 Stick-Breaking Revisited
136
L13.5 Forecast Revisions
L13.5 Forecast Revisions
137
L13.6 The Conditional Variance
L13.6 The Conditional Variance
138
L13.7 Derivation of the Law of Total Variance
L13.7 Derivation of the Law of Total Variance
139
L13.8 A Simple Example
L13.8 A Simple Example
140
L13.9 Section Means and Variances
L13.9 Section Means and Variances
141
L13.10 Mean of the Sum of a Random Number of Random Variables
L13.10 Mean of the Sum of a Random Number of Random Variables
142
L13.11 Variance of the Sum of a Random Number of Random Variables
L13.11 Variance of the Sum of a Random Number of Random Variables
143
S13.1 Conditional Expectation Properties
S13.1 Conditional Expectation Properties
144
L14.1 Lecture Overview
L14.1 Lecture Overview
145
L14.2 Overview of Some Application Domains
L14.2 Overview of Some Application Domains
146
L14.3 Types of Inference Problems
L14.3 Types of Inference Problems
147
L14.4 The Bayesian Inference Framework
L14.4 The Bayesian Inference Framework
148
L14.5 Discrete Parameter, Discrete Observation
L14.5 Discrete Parameter, Discrete Observation
149
L14.6 Discrete Parameter, Continuous Observation
L14.6 Discrete Parameter, Continuous Observation
150
L14.7 Continuous Parameter, Continuous Observation
L14.7 Continuous Parameter, Continuous Observation
151
L14.8 Inferring the Unknown Bias of a Coin and the Beta Distribution
L14.8 Inferring the Unknown Bias of a Coin and the Beta Distribution
152
L14.9 Inferring the Unknown Bias of a Coin - Point Estimates
L14.9 Inferring the Unknown Bias of a Coin - Point Estimates
153
L14.10 Summary
L14.10 Summary
154
S14.1 The Beta Formula
S14.1 The Beta Formula
155
L15.1 Lecture Overview
L15.1 Lecture Overview
156
L15.2 Recognizing Normal PDFs
L15.2 Recognizing Normal PDFs
157
L15.3 Estimating a Normal Random Variable in the Presence of Additive Noise
L15.3 Estimating a Normal Random Variable in the Presence of Additive Noise
158
L15.4 The Case of Multiple Observations
L15.4 The Case of Multiple Observations
159
L15.5 The Mean Squared Error
L15.5 The Mean Squared Error
160
L15.6 Multiple Parameters; Trajectory Estimation
L15.6 Multiple Parameters; Trajectory Estimation
161
L15.7 Linear Normal Models
L15.7 Linear Normal Models
162
L15.8 Trajectory Estimation Illustration
L15.8 Trajectory Estimation Illustration
163
L16.1 Lecture Overview
L16.1 Lecture Overview
164
L16.2 LMS Estimation in the Absence of Observations
L16.2 LMS Estimation in the Absence of Observations
165
L16.3 LMS Estimation of One Random Variable Based on Another
L16.3 LMS Estimation of One Random Variable Based on Another
166
L16.4 LMS Performance Evaluation
L16.4 LMS Performance Evaluation
167
L16.5 Example: The LMS Estimate
L16.5 Example: The LMS Estimate
168
L16.6 Example Continued: LMS Performance Evaluation
L16.6 Example Continued: LMS Performance Evaluation
169
L16.7 LMS Estimation with Multiple Observations or Unknowns
L16.7 LMS Estimation with Multiple Observations or Unknowns
170
L16.8 Properties of the LMS Estimation Error
L16.8 Properties of the LMS Estimation Error
171
L17.1 Lecture Overview
L17.1 Lecture Overview
172
L17.2 LLMS Formulation
L17.2 LLMS Formulation
173
L17.3 Solution to the LLMS Problem
L17.3 Solution to the LLMS Problem
174
L17.4 Remarks on the LLMS Solution and on the Error Variance
L17.4 Remarks on the LLMS Solution and on the Error Variance
175
L17.5 LLMS Example
L17.5 LLMS Example
176
L17.6 LLMS for Inferring the Parameter of a Coin
L17.6 LLMS for Inferring the Parameter of a Coin
177
L17.7 LLMS with Multiple Observations
L17.7 LLMS with Multiple Observations
178
L17.8 The Simplest LLMS Example with Multiple Observations
L17.8 The Simplest LLMS Example with Multiple Observations
179
L17.9 The Representation of the Data Matters in LLMS
L17.9 The Representation of the Data Matters in LLMS
180
L18.1 Lecture Overview
L18.1 Lecture Overview
181
L18.2 The Markov Inequality
L18.2 The Markov Inequality
182
L18.3 The Chebyshev Inequality
L18.3 The Chebyshev Inequality
183
L18.4 The Weak Law of Large Numbers
L18.4 The Weak Law of Large Numbers
184
L18.5 Polling
L18.5 Polling
185
L18.6 Convergence in Probability
L18.6 Convergence in Probability
186
L18.7 Convergence in Probability Examples
L18.7 Convergence in Probability Examples
187
L18.8 Related Topics
L18.8 Related Topics
188
S18.1 Convergence in Probability of the Sum of Two Random Variables
S18.1 Convergence in Probability of the Sum of Two Random Variables
189
S18.2 Jensen's Inequality
S18.2 Jensen's Inequality
190
S18.3 Hoeffding's Inequality
S18.3 Hoeffding's Inequality
191
L19.1 Lecture Overview
L19.1 Lecture Overview
192
L19.2 The Central Limit Theorem
L19.2 The Central Limit Theorem
193
L19.3 Discussion of the CLT
L19.3 Discussion of the CLT
194
L19.4 Illustration of the CLT
L19.4 Illustration of the CLT
195
L19.5 CLT Examples
L19.5 CLT Examples
196
L19.6 Normal Approximation to the Binomial
L19.6 Normal Approximation to the Binomial
197
L19.7 Polling Revisited
L19.7 Polling Revisited
198
L20.1 Lecture Overview
L20.1 Lecture Overview
199
L20.2 Overview of the Classical Statistical Framework
L20.2 Overview of the Classical Statistical Framework
200
L20.3 The Sample Mean and Some Terminology
L20.3 The Sample Mean and Some Terminology
201
L20.4 On the Mean Squared Error of an Estimator
L20.4 On the Mean Squared Error of an Estimator
202
L20.5 Confidence Intervals
L20.5 Confidence Intervals
203
L20.6 Confidence Intervals for the Estimation of the Mean
L20.6 Confidence Intervals for the Estimation of the Mean
204
L20.7 Confidence Intervals for the Mean, When the Variance is Unknown
L20.7 Confidence Intervals for the Mean, When the Variance is Unknown
205
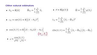
L20.8 Other Natural Estimators
L20.8 Other Natural Estimators
206
L20.9 Maximum Likelihood Estimation
L20.9 Maximum Likelihood Estimation
207
L20.10 Maximum Likelihood Estimation Examples
L20.10 Maximum Likelihood Estimation Examples
208
L21.1 Lecture Overview
L21.1 Lecture Overview
209
L21.2 The Bernoulli Process
L21.2 The Bernoulli Process
210
L21.3 Stochastic Processes
L21.3 Stochastic Processes
211
L21.4 Review of Known Properties of the Bernoulli Process
L21.4 Review of Known Properties of the Bernoulli Process
212
L21.5 The Fresh Start Property
L21.5 The Fresh Start Property
213
L21.6 Example: The Distribution of a Busy Period
L21.6 Example: The Distribution of a Busy Period
214
L21.7 The Time of the K-th Arrival
L21.7 The Time of the K-th Arrival
215
L21.8 Merging of Bernoulli Processes
L21.8 Merging of Bernoulli Processes
216
L21.9 Splitting a Bernoulli Process
L21.9 Splitting a Bernoulli Process
217
L21.10 The Poisson Approximation to the Binomial
L21.10 The Poisson Approximation to the Binomial
218
L22.1 Lecture Overview
L22.1 Lecture Overview
219
L22.2 Definition of the Poisson Process
L22.2 Definition of the Poisson Process
220
L22.3 Applications of the Poisson Process
L22.3 Applications of the Poisson Process
221
L22.4 The Poisson PMF for the Number of Arrivals
L22.4 The Poisson PMF for the Number of Arrivals
222
L22.5 The Mean and Variance of the Number of Arrivals
L22.5 The Mean and Variance of the Number of Arrivals
223
L22.6 A Simple Example
L22.6 A Simple Example
224
L22.7 Time of the K-th Arrival
L22.7 Time of the K-th Arrival
225
L22.8 The Fresh Start Property and Its Implications
L22.8 The Fresh Start Property and Its Implications
226
L22.9 Summary of Results
L22.9 Summary of Results
227
L22.10 An Example
L22.10 An Example
228
L23.1 Lecture Overview
L23.1 Lecture Overview
229
L23.2 The Sum of Independent Poisson Random Variables
L23.2 The Sum of Independent Poisson Random Variables
230
L23.3 Merging Independent Poisson Processes
L23.3 Merging Independent Poisson Processes
231
L23.4 Where is an Arrival of the Merged Process Coming From?
L23.4 Where is an Arrival of the Merged Process Coming From?
232
L23.5 The Time Until the First (or last) Lightbulb Burns Out
L23.5 The Time Until the First (or last) Lightbulb Burns Out
233
L23.6 Splitting a Poisson Process
L23.6 Splitting a Poisson Process
234
L23.7 Random Incidence in the Poisson Process
L23.7 Random Incidence in the Poisson Process
235
L23.8 Random Incidence in a Non-Poisson Process
L23.8 Random Incidence in a Non-Poisson Process
236
L23.9 Different Sampling Methods can Give Different Results
L23.9 Different Sampling Methods can Give Different Results
237
S23.1 Poisson Versus Normal Approximations to the Binomial
S23.1 Poisson Versus Normal Approximations to the Binomial
238
S23.2 Poisson Arrivals During an Exponential Interval
S23.2 Poisson Arrivals During an Exponential Interval
239
L24.1 Lecture Overview
L24.1 Lecture Overview
240
L24.2 Introduction to Markov Processes
L24.2 Introduction to Markov Processes
241
L24.3 Checkout Counter Example
L24.3 Checkout Counter Example
242
L24.4 Discrete-Time Finite-State Markov Chains
L24.4 Discrete-Time Finite-State Markov Chains
243
L24.5 N-Step Transition Probabilities
L24.5 N-Step Transition Probabilities
244
L24.6 A Numerical Example - Part I
L24.6 A Numerical Example - Part I
245
L24.7 Generic Convergence Questions
L24.7 Generic Convergence Questions
246
L24.8 Recurrent and Transient States
L24.8 Recurrent and Transient States
247
L25.1 Brief Introduction (RES.6-012 Introduction to Probability)
L25.1 Brief Introduction (RES.6-012 Introduction to Probability)
248
L25.2 Lecture Overview
L25.2 Lecture Overview
249
L25.3 Markov Chain Review
L25.3 Markov Chain Review
250
L25.4 The Probability of a Path
L25.4 The Probability of a Path
251
L25.5 Recurrent and Transient States: Review
L25.5 Recurrent and Transient States: Review
252
L25.6 Periodic States
L25.6 Periodic States
253
L25.7 Steady-State Probabilities and Convergence
L25.7 Steady-State Probabilities and Convergence
254
L25.8 A Numerical Example - Part II
L25.8 A Numerical Example - Part II
255
L25.9 Visit Frequency Interpretation of Steady-State Probabilities
L25.9 Visit Frequency Interpretation of Steady-State Probabilities
256
L25.10 Birth-Death Processes - Part I
L25.10 Birth-Death Processes - Part I
257
L25.11 Birth-Death Processes - Part II
L25.11 Birth-Death Processes - Part II
258
L26.1 Brief Introduction (RES.6-012 Introduction to Probability)
L26.1 Brief Introduction (RES.6-012 Introduction to Probability)
259
L26.2 Lecture Overview
L26.2 Lecture Overview
260
L26.3 Review of Steady-State Behavior
L26.3 Review of Steady-State Behavior
261
L26.4 A Numerical Example - Part III
L26.4 A Numerical Example - Part III
262
L26.5 Design of a Phone System
L26.5 Design of a Phone System
263
L26.6 Absorption Probabilities
L26.6 Absorption Probabilities
264
L26.7 Expected Time to Absorption
L26.7 Expected Time to Absorption
265
L26.8 Mean First Passage Time
L26.8 Mean First Passage Time
266
L26.9 Gambler's Ruin
L26.9 Gambler's Ruin